
Investigation of the diagnostic performance of a biomarker (simulated reproduction)
Introduction
The following is a reproduction of a set of visualizations I produced for a study and subsequent publication. These were particularly helpful when collaborating with our clinical team whose expertise were in non-statistical fields. It helped us achieve and maintain alignment, helping us efficiently achieve our goals.
We were investigating a biomarker and its behavior over time in healthy (controls) and diseased (exposed) subjects. The hypothesis was that biomarker values that increased over time indicated disease, while biomarkers that stayed constant through time indicated health. Furthermore, in order for clinicians to adopt this biomarker, the diagnostic performance of this biomarker needed to be highly accurate with near-zero misclassifications. The following visualizations were produced from a simplified simulation of the data.
The progression of each patient’s biomarker progression through time is presented below. A visual inspection shows us that increases in biomarker values tended to occur more often with sick than with healthy patients. We can also see that the data is unbalanced.
Boxplots of slopes help us understand the diagnostic performance of the data
In order to diagnose disease, we must see an increase in biomarker values over time. Using linear regression, we can calculate the slope of each patient’s biomarker values over time. We can compare the slopes of healthy patients against the slopes of sick patients.
In the plot below, we can see that the biomarker slopes of sick patients tends to be higher than those of healthy patients. However, with regards to diagnostic performance, there was still a chance of misclassifications that was unacceptable to our clinicians.

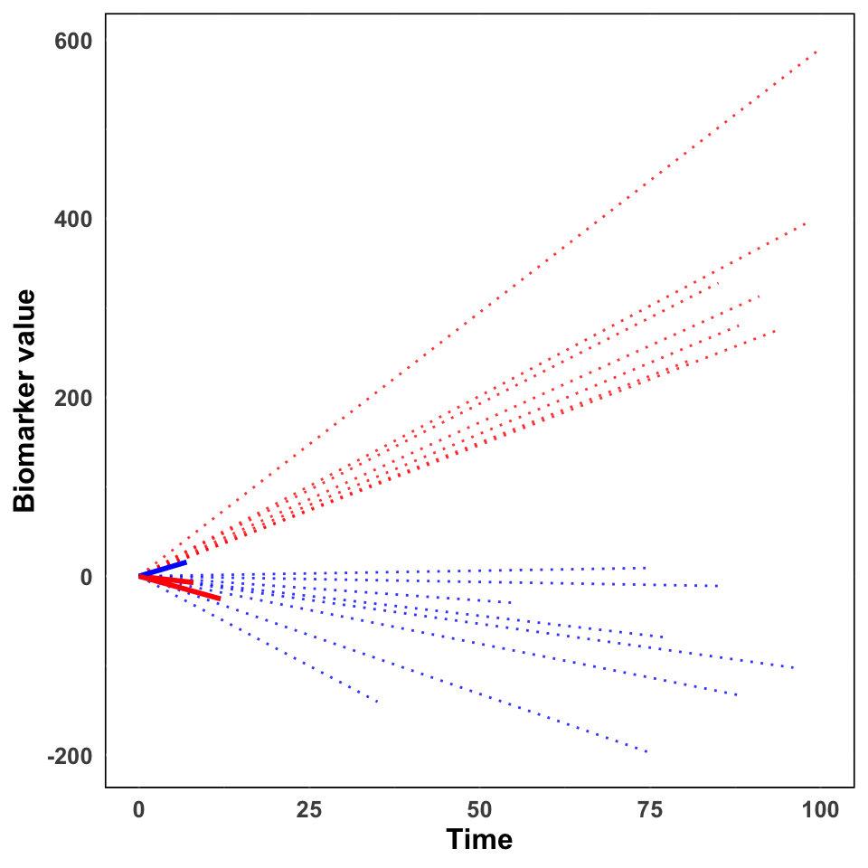
Radial plots help us assess diagnostic performance with data completeness in mind.
In order to better understand the cause of this, I created another visualization tool, called radial plots. For each patient, lines were generated using the slope calculated from linear regression originating from a common intercept.
The radial plot below illustrates each patient’s slope of biomarker values. The dotted red and blue lines indicated patients correctly classified as sick and healthy, respectively. The solid blue line indicated a healthy patient misclassified as sick. The solid red line indicated sick patients misclassified as healthy. One thing to note is that misclassified patients had shorter follow-up periods compared to correctly classified patients. This information allowed our clincial team to look more closely into the cause of shorter follow-up periods providing explanations for misclassifications and helping us investigate the diagnostic performance of this biomarker more thoroughly.
